Logo

Ableitungsfunktionen

Lösungen

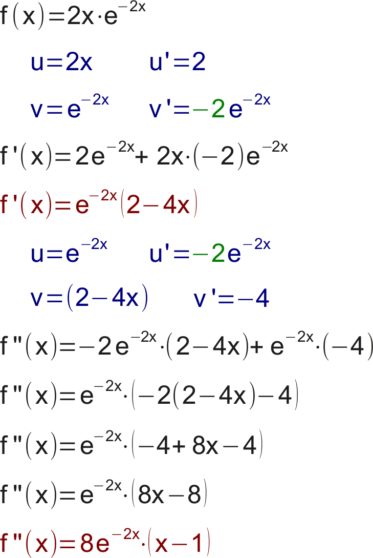
Aufgabe ii.22 a

Formel

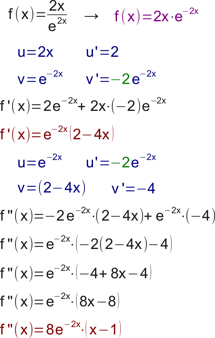
Aufgabe ii.22 b

Formel

Aufgabe ii.22 c

Formel

Aufgabe ii.22 d

Formel

Aufgabe ii.22 e

Formel

Aufgabe ii.22 f

Formel

Aufgabe ii.22 g

Formel

Aufgabe ii.22 h

Formel

Aufgabe ii.22 i

Formel

Aufgabe ii.22 j

Formel

Aufgabe ii.22 k

Formel

Aufgabe ii.22 l

Formel

Aufgabe ii.22 m

Formel

Aufgabe ii.22 n

Formel

Aufgabe ii.22 o

Formel

Aufgabe ii.22 p

Formel

Aufgabe ii.22 q

Formel

Aufgabe ii.22 r

Formel

Aufgabe ii.22 s

Formel

Aufgabe ii.22 t

Formel